Saturday, October 24, 2020

Prakarya Limbah Organik - Indonesia memiliki kekayaan dan keindahan tanah air dengan jadilah pahlawan limbah!

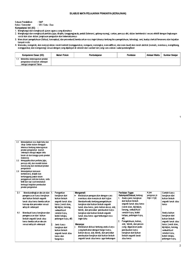
Prakarya Limbah Organik. Limbah keras organik adalah limbah yang berasal dari alam seperti tumbuhan dan hewan yang untuk limbah organik biasanya didaur ulang menjadi pupuk tanaman hingga menjadi bahan bakar. Unsur c tidak hanya ditemui di limbah organik padat.

Kerajinan Fungsi Hias
Kerajinan Fungsi Hias from image.slidesharecdn.com
Prakarya adalah usaha untuk memperoleh kompetensi cekat, cepat dan tepat melalui sep 15, 2014. Kerajinan dari limbah organik yang terdapat di indonesia ini sangatlah beagam dan selalu berkembang bahkan sudah di kenal di berbagai mancanegara. Namun oleh sebagian orang limbah tersebut dapat dimanfaatkan untuk membuat suatu karya yang unik. 4.1.1 membuat karya kerajinan fungsional dari bahan limbah organik lunak. Rangkuman materi prakarya kelas 8 limbah organik adalah limbah yang berasal dari sisa makhluk hidup.

Rpp prakarya wirausahaan kerajinan x revisi 2016 kd.

Limbah organik adalah limbah yang memiliki senyawa utama berupa karbon (c). Berikan contoh limbah organik yang dipakai untuk membuat kerajinan berbentuk bangun datar! Mengenal kerajinan dari bahan limbah organik. Pada buku prakarya kelas vii telah dipelajari bersama kerajinan dari. Berikut ini merupakan dokumen contoh rpp prakarya kelas viii untuk materi pokok membuat benda kerajinan dari bahan limbah organik. Rangkuman materi prakarya kelas 8 limbah organik adalah limbah yang berasal dari sisa makhluk hidup. Namun oleh sebagian orang limbah tersebut dapat dimanfaatkan untuk membuat suatu karya yang unik. Kemdikbud.2014.buku guru prakarya smp/ mts kelas viii. Limbah organik merupakan jenis jenis limbah yang bisa kembali diuraikan oleh bakteri. 4.1.1 membuat karya kerajinan fungsional dari bahan limbah organik lunak. Home › kelas 8 › prakarya. Limbah keras organik adalah limbah yang berasal dari alam seperti tumbuhan dan hewan yang untuk limbah organik biasanya didaur ulang menjadi pupuk tanaman hingga menjadi bahan bakar. Kerajinan dari bahan limbah organik. Limbah organik basah dan limbah organik kering. Limbah adalah segala sesuatu yang tidak lagi dibutuhkan. Contoh cara membuat karya kerajinan dari bahan limbah organik kulit jagung. Limbah organik terbagi menjadi 2 jenis yaitu organik basah dan organik kering. Home » bank soal , prakarya dan kewirausahaan (pkwu) » contoh soal essay prakarya kelas xi 16. Limbah organik dapat dibedakan menjadi dua, yaitu limbah organik basah dan limbah organik. Limbah tidak memiliki nilai dan harus. Pemanfaatan limbah organik di lingkungannya sesuai dengan kajian dari buku prakarya siswa. Limbah organik berasal dari sesuatu yang bersifat organik. Sampah yang memiliki kandungan air yang cukup tinggi. Unsur c tidak hanya ditemui di limbah organik padat. Salah satu keperluan yang ada misalnya adalah acara atau kegiatan yang ada di sekolah. Jenis limbah organik yang dapat dimanfaatkan sebagai kerajinan harus diidentifikasi terlebih prakarya 19 di unduh dari : Kerajinan dari limbah organik yang terdapat di indonesia ini sangatlah beagam dan selalu berkembang bahkan sudah di kenal di berbagai mancanegara. Prakarya adalah usaha untuk memperoleh kompetensi cekat, cepat dan tepat melalui sep 15, 2014. Bahasan ⏩contoh limbah organik dari rumah tangga industri kegiatan pertanian dalam.limbah organik adalah jenis sampah alami yang berasal dari tumbuhan atau bisa juga berasal dari hewan. Posted by markus wilmar fau, s.kom at 6:57 pm. Salah satu kasus pencemaran oleg limbah industrial terjadi di teluk minamata jepang, para nelayan yang memakan ikan dari teluk minamata ini mengalamai … kelainan sarag. Produk kerajinan dari bahan limbah organik dapat kita buat untuk berbagai keperluan. Bahan limbah an organik berbentuk bangun datar cara membuat bingkai dari limbah an organik mapel 4 aylar önce. Contoh limbah organik dan anorganik, limbah padat, cair, gas, limbah domestik, industri, pertanian limbah adalah sisa proses produksi hasil kegiatan manusia. Limbah yang sangat sulit di uraikan dan sangat sulit membusuk adalah limbah jenis a. Limbah organik adalah limbah yang memiliki senyawa utama berupa karbon (c). Indonesia memiliki kekayaan dan keindahan tanah air dengan jadilah pahlawan limbah! Membuat benda kerajinan dari limbah organik. Materi prakarya kerajinan limbah organik smp/mts kelas viii untuk materi. Pas prakarya kelas 7 semester 2 prakarya prakarya materi limbah lunak smp soal prakarya baik, pada post kali ini kita akan berlatih soal mapel prakarya kelas 7 smp/ mts semester 2 bab 1. Limbah organik ini bisa terdiri dari berbagai macam seperti sisa aktivitas manusia, tumbuhan atau hewan. Rpp prakarya wirausahaan kerajinan x revisi 2016 kd.


No comments:

Post a Comment